04f 1 Beispiel Fur Bild Rang Kern Defekt Einer Matrix Youtube

04f 1 Beispiel Fur Bild Rang Kern Defekt Einer Matrix Youtube

Basis Von Bild Und Kern Matrix Bestimmen Mathelounge

Basis Von Bild Und Kern Matrix Bestimmen Mathelounge

Rang Einer Matrix Studimup De

Rang Einer Matrix Studimup De

04c 2 Bild Rang Kern Defekt Einer Matrix Lineares Gleichungssystem Youtube

04c 2 Bild Rang Kern Defekt Einer Matrix Lineares Gleichungssystem Youtube

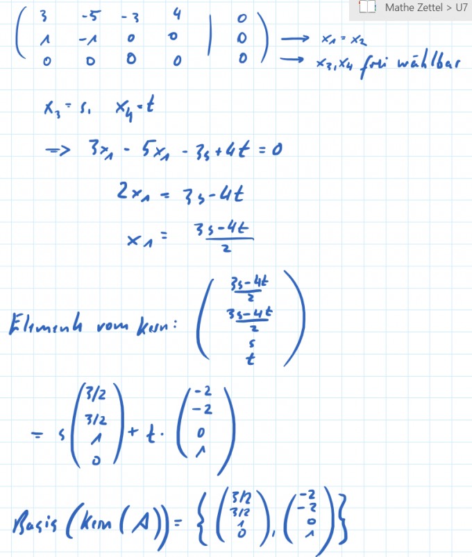
Basis Vom Kern Und Basis Vom Bild Einer 3x4 Matrix Mathelounge

Basis Vom Kern Und Basis Vom Bild Einer 3x4 Matrix Mathelounge

Kern Einer Matrix 3x4 Mathelounge

Kern Einer Matrix 3x4 Mathelounge

Kern Einer Matrix 3x4 Mathelounge >

Matrix Rang Kern Bild Computer Mathematik

Matrix Rang Kern Bild Computer Mathematik

Berechnungen Zum Rang Kern Und Bild Einer Matrix Mathelounge

Berechnungen Zum Rang Kern Und Bild Einer Matrix Mathelounge

Kern Und Bild Einer Matrix Teil I Mathematik Video Erklarung Youtube

Kern Und Bild Einer Matrix Teil I Mathematik Video Erklarung Youtube

Matrix Kern Defekt Basis Dimension Spaltenraum Beispiel Mathe By Daniel Jung Youtube

Matrix Kern Defekt Basis Dimension Spaltenraum Beispiel Mathe By Daniel Jung Youtube

Mathematik Nachhilfe Videos Vorlesungen Ubungen Mathe Informatik Video Kostenlos

Mathematik Nachhilfe Videos Vorlesungen Ubungen Mathe Informatik Video Kostenlos

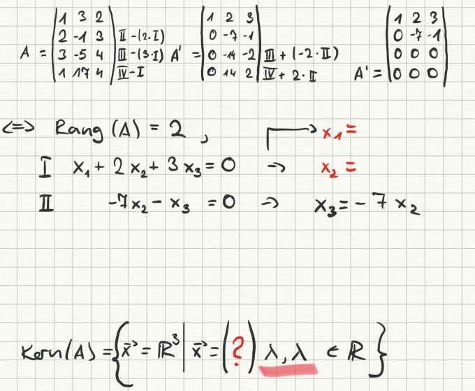
Matrix Kern Basis Dimension Mathelounge

Matrix Kern Basis Dimension Mathelounge

Rang Einer Matrix Und Matrix Ist Nicht Losbar Mathelounge

Rang Einer Matrix Und Matrix Ist Nicht Losbar Mathelounge

Dimensions Of A Matrix Youtube

Dimensions Of A Matrix Youtube

Rang Einer Matrix Ermitteln Mathelounge

Rang Einer Matrix Ermitteln Mathelounge

Bild Einer Matrix Mathebibel De

Bild Einer Matrix Mathebibel De

Bild Bildmenge Einer Matrix Teil 2 Lineare Algebra Mathehilfe Online Mathe By Daniel Jung Youtube

Bild Bildmenge Einer Matrix Teil 2 Lineare Algebra Mathehilfe Online Mathe By Daniel Jung Youtube

Rbse Solutions For Class 12 Maths Chapter 5 Inverse Of A Matrix And Linear Equations Miscellaneous Exercise Rbsesolution Class 12 Maths Math Linear Equations

Rbse Solutions For Class 12 Maths Chapter 5 Inverse Of A Matrix And Linear Equations Miscellaneous Exercise Rbsesolution Class 12 Maths Math Linear Equations

Determinante Einer Matrix Berechnen An 1 2 3 N Mathelounge

Determinante Einer Matrix Berechnen An 1 2 3 N Mathelounge

Dimension Und Basis Der Unterraume Einer Matrix Bestimmen Mathelounge

Dimension Und Basis Der Unterraume Einer Matrix Bestimmen Mathelounge

Rbse Solutions For Class 12 Maths Chapter 3 Matrix Ex 3 2 Rbsesolutions Rbsesolutionsforclass12maths Class 12 Maths Studying Math 12th Maths

Rbse Solutions For Class 12 Maths Chapter 3 Matrix Ex 3 2 Rbsesolutions Rbsesolutionsforclass12maths Class 12 Maths Studying Math 12th Maths

Halloween Matrix Aufmerksamkeit Visuelle Wahrnehmung Feinmotorik Vorschule Diy Hallowen Halloween Preschool Halloween Math Halloween School

Halloween Matrix Aufmerksamkeit Visuelle Wahrnehmung Feinmotorik Vorschule Diy Hallowen Halloween Preschool Halloween Math Halloween School

Der Kern Einer Matrix Zusammenfassung Uni Leipzig Studocu

Der Kern Einer Matrix Zusammenfassung Uni Leipzig Studocu

Matrix A B Und Identitat Zeigen Mathelounge

Matrix A B Und Identitat Zeigen Mathelounge

Https Encrypted Tbn0 Gstatic Com Images Q Tbn 3aand9gcsmf78uyyu4ajk 7ayujqwf Ox3maizanzvayt93ekxpb84kmvj Usqp Cau

Https Encrypted Tbn0 Gstatic Com Images Q Tbn 3aand9gcsmf78uyyu4ajk 7ayujqwf Ox3maizanzvayt93ekxpb84kmvj Usqp Cau

Rbse Solutions For Class 12 Maths Chapter 4 Determinants Miscellaneous Exercise Rbsesolutions Rbsesolutionsforclass1 Class 12 Maths Studying Math 12th Maths

Rbse Solutions For Class 12 Maths Chapter 4 Determinants Miscellaneous Exercise Rbsesolutions Rbsesolutionsforclass1 Class 12 Maths Studying Math 12th Maths

Beweis Diagonalisierbarkeit Fur Matrix Mit Variable Mathelounge

Beweis Diagonalisierbarkeit Fur Matrix Mit Variable Mathelounge

Berechnen Sie Das Charakteristische Polynom P X Von M Mathelounge

Berechnen Sie Das Charakteristische Polynom P X Von M Mathelounge

Neue Arbeitsblatter Zur Drehsymmetrie Arbeitsblatter Drehsymmetrie Neue Zur Ogretim Ogrenme Guclugu Sinif

Neue Arbeitsblatter Zur Drehsymmetrie Arbeitsblatter Drehsymmetrie Neue Zur Ogretim Ogrenme Guclugu Sinif

Pdf On The Numerical Range Of A Matrix

Pdf On The Numerical Range Of A Matrix

Source : pinterest.com